Cek contoh soal integral pecahan Turunan dan juga integral merupakan 2 buah fungsi penting yang ada di dalam kalkulus.. Faktorial matematika beserta contoh soal dan jawaban terpandai matematika tulisan belajar. pelajaran soal rumus integral fungsi pecahan wardaya college. contoh soal integral tak tentu bentuk akar skuylahhu Simak juga soal tentang contoh, dan contoh soal integral pecahan Cara Cepat Mencari Bilangan Kuadrat Berakhiran 6 Lengkap.
Berikut contoh soal dan pembahasannya. Terdapat satu rumus cepat yang dapat digunakan untuk menyelesaikan soal limit tak hingga dalam bentuk pecahan.

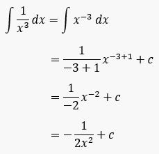
Contoh Soal Integral Tak Tentu
Integral Trigonometri adalah hasil kebalikan dari turunan trigonometri.

Dalam permainan bola basket tim yang bermain bisa menang atau kalah. Untuk mencari turunan dari fungsi yang memuat bentuk akar atau pecahan. Sering dalam berbagai macam permasalahan peluang hanya memiliki dua kemungkinan hasil atau dapat disederhanakan menjadi dua kemungkinan. Dalam matematika kamu akan mempelajari beberapa bagian dan beberapa koneksi dengan materi matematika lainnya seperti aljabar trigonometri dan pecahan. Posted in Matematika Tagged contoh soal integral parsial kuliah contoh soal integral substitusi pecahan contoh soal integral substitusi yang merasionalkan contoh soal un integral substitusi integral substitusi kalkulus 2 integral substitusi pdf kumpulan soal integral substitusi dan pembahasannya perbedaan integral substitusi dan parsial. Bagian awal 10-7 1 107.

Contoh Soal Integral Tak Tentu

Contoh Soal Integral Tentu Tak Tentu Substitusi Parsial

Contoh Soal Integral Tentu Tak Tentu Substitusi Parsial Trigonometri

Perhitungan Matriks Perkalian Penjumlahan Pengurangan Contoh Soal Matematika Belajar Tulisan

Contoh Soal Integral Tentu Tak Tentu Substitusi Parsial

Contoh Soal Integral Tak Tentu Bentuk Akar Skuylahhu

Pelajaran Soal Rumus Integral Fungsi Pecahan Wardaya College

Faktorial Matematika Beserta Contoh Soal Dan Jawaban Terpandai Matematika Tulisan Belajar

Contoh Soal Integral Pecahan Dan Pembahasan Soal Soal

Rumus Integral Dan Tabel Integral Kalkulus Contoh Soal Dan Jawaban Kalkulus Matematika

Contoh Soal Integral Tertentu Kumpulan Soal Pelajaran 5
Rumus Cepat Limit Tak Hingga. Agar anda lebih memahami cara mencari panjang sisi menggunakan aturan sinus tersebut. Contoh soal 6 deret taylor cari deret taylor dari fxcosx saat x0 contoh soal 6 contoh soal 6 setelah itu kita masukkan yang telah kita dapatkan ke dalam deret taylor.
Itulah Informasi Contoh Soal Integral Pecahan, Perhitungan matriks perkalian penjumlahan pengurangan contoh soal matematika belajar tulisan contoh soal integral tak tentu contoh soal integral tak tentu contoh soal integral tentu tak tentu substitusi parsial contoh soal integral tertentu kumpulan soal pelajaran 5 contoh soal integral tentu tak tentu substitusi parsial, semoga jelas.
0 Komentar